Modelo Hidrológico J2000
O sistema modelo hidrológico J2000 oferece uma modelagem física baseada no balanço hídrico de grandes bacias hidrográficas. Além da simulação dos processos hidrológicos, que influenciam o escoamento e a sua concentração nas escalas meso-superior e macro, o sistema de modelagem contém rotinas que ajudam a regionalizar os valores pontuais climáticos disponíveis e valores de precipitação com bastante segurança. Além disso, o cálculo da evaporação real, com a qual o cálculo é efetuado levando-se em conta diferenças de área e o comportamento da evaporação das classes de uso da terra, está integrado no modelo. Uma vez que o modelo deve ser adequado para a modelação de grandes áreas de captação de mais de 1000 km ², assegura-se que a modelação pode ser efetuada por meio dos dados de base disponíveis em escala nacional. A simulação de diferentes processos hidrológicos é realizada nos módulos de programa que são preenchidos e, tanto quanto possível de forma independente do outro. Essa oferece para editar, substituir ou adicionar módulos individuais sem a necessidade de estruturar o modelo inteiro de novo. O escoamento total modelado é acumulado a partir da soma dos componentes individuais de escoamento que são calculados separadamente durante a modelação. O sistema de modelagem diferencia-se entre quatro componentes de escoamento de acordo com a sua origem específica. O componente com maior dinâmica temporal é o escoamento rápido e direto (RD1). Ele consiste no escoamento de áreas fechadas, de água da neve, que drena dentro de camadas de neve, e do escoamento superficial quando as áreas de saturação se desenvolvem. O componente de escoamento lento direto (RD2), o qual pode ser considerado similar ao escoamento hipodérmico lateral dentro da zona do solo, reage insignificantemente de forma mais lenta. Dois componentes adicionais de escoamento de base podem ser distinguidos. Por um lado, existe o componente de escoamento rápido de base (RG1) que simula o escoamento de zonas intempéries bem permeáveis de perto da superfície. Por outro lado, existe um componente de escoamento de base lento (RG2), que resulta em escoamento do aquífero conjunto ou aquífero de rocha homogénea solta. A repartição da água de precipitação para os componentes individuais de escoamento é realizada no modelo com base em parâmetros de área, que podem ser derivados a partir dos dados de base aplicado. Além da forma de relevo, parâmetros do solo específicos, como a condutividade hidráulica de horizontes individuais, têm uma influência importante. O cálculo dos diferentes tempos de concentração dos componentes de escoamento é realizado tendo-se em consideração as características hidráulicas dos armazenamentos em que os componentes individuais escoam. Além disso, as influências de variáveis como a humidade precedente da área são considerados durante a modelagem.
Índice |
GUI
Após iniciar o JAMS, a janela principal abre com vários tabuladores:
Configurações básicas
- Diretório Workspace: Define o diretório de trabalho. Tem que conter mais três pastas: Parâmetros (para todos os arquivos de parâmetros), Data (para todos os arquivos de dados) e de Saída (para todos os arquivos de saída).
- Time interval: O intervalo de tempo para a execução do modelo escolhido.
- Caching: Os resultados de alguns processos de computação intensiva podem ser temporariamente armazenados no disco rígido e reutilizados para outras execuções de modelos. Assim, o modelo de execução será ligeiramente mais rápida. Atenção: Esta função não é completamente segura e ainda deve ser aplicada apenas por usuários experientes.
Diagramas e mapas
- Runoff plot: Ativa a visualização gráfica do escoamento modelado e medido durante execução do modelo.
- Soil moisture plot: Ativa a exibição gráfica da umidade do solo relativa durante a execução do modelo.
- Snow water equivalent: Ativa a exibição gráfica do equivalente de água da neve durante a execução do modelo.
- Map enable: Ativa a saída de uma exibição cartográfica de variáveis de estado selecionados.
- Map attributes: Uma lista separada por ponto-e-vírgula de variáveis de estado que serão cartograficamente exibidas.
- Map3D enable: Permite uma saída 3D de uma exposição cartográfica de variáveis de estado selecionadas.
- Map3D attributes: Uma lista separada por ponto-e-vírgula de variáveis de estado que serão cartograficamente exibidas (em 3D).
Inicialização
- Multiplier for field capacity: A capacidade máxima de armazenamento dos reservatórios de poros médios (MPS) pode ser aumentada (valor > 1) ou diminuído (valor < 1).
- Multiplier for air capacity: A máxima capacidade de armazenamento dos reservatórios de poros grandes (LPS) pode ser aumentada (valor > 1) ou diminuída (valor < 1).
- InitRG1: enchimento relativo do armazenamento de águas subterrâneas superior no início da execução do modelo (1 lotado, 0 vazio).
- InitRG2: enchimento relativo do armazenamento inferior de águas subterrâneas no início da execução do modelo (1 lotado, 0 vazio).
Regionalização
- number of closest stations for regionalization: n número de estações utilizadas para calcular o valor de um HRU (n estações que estão mais próximas do HRU são selecionados).
- Power of IDW function for regionalization: Fator de ponderação usado para exponenciar a distância de cada estação para a HRU respectiva.
- elevation correction on/off: Ativa a correção de elevação dos valores de dados.
- r-sqrt threshold for elevation correction: valor limite para a correção de elevação dos valores de dados. Se o coeficiente de determinação da relação de regressão entre os dados medidos das estações e elevações de estação for menor do que este valor, uma correção de elevação não será realizada.
Essas configurações (por exemplo, a temperatura mínima, a máxima, a temperatura média do ar, a precipitação, a humidade absoluta do ar, a velocidade do vento, a duração da luz solar) podem ser ajustadas para cada variável de entrada única.
Radiação
- flowRouteTA [h]: tempo de execução da rota de escoamento
Interceptação
- a_rain [mm]: a capacidade máxima de armazenamento do reservatório de interceptação por m2 de área foliar para a chuva
- a_snow [mm]: a capacidade máxima de armazenamento do reservatório de interceptação por m2 de área foliar para a neve
Neve
- Component active: Ativa o módulo de neve.
- baseTemp [°C]: valor limite da temperatura para a precipitação da neve.
- t_fator [mm/°C]: fator de temperatura para cálculo do escoamento de neve derretida.
- r_fator [mm/°C]: fator de chuva para o cálculo do escoamento da neve derretida.
- g_fator [mm]: Solo fator de fluxo de calor para o cálculo do escoamento neve derretida.
- snowCritDens [g/cm³]: densidade crítica da neve
- ccf_fator [-]: fator para o cálculo do conteúdo frio da cobertura de neve
Água do solo
- MaxDPS [mm]: reserva vazia máxima
- PolRed [-]: fator de redução polinomial para a redução da evaporação potencial com abastecimento de água limitado.
- LinRed [-]: fator de redução linear para redução da evaporação potencial com abastecimento de água limitado.
(Nota: PolRed e LinRed não representam alternativas. Apenas a um deles pode ser atribuído um valor, o outro tem de ser 0.)
- MaxInfSummer [mm]: a infiltração máxima durante o período de verão
- MaxInfWinter [mm]: infiltração máxima durante o período de inverno
- MaxInfSnow [mm]: infiltração máxima com cobertura de neve
- ImpGT80 [-]: capacidade de infiltração relativa de áreas com um grau de vedação > 80%
- ImpLT80 [-]: capacidade de infiltração relativa de áreas com um grau de vedação < 80%
- DistMPSLPS [-]: coeficiente de calibração para a distribuição de infiltração em reservatórios do solo LPS e MPS
- DiffMPSLPS [-]: coeficiente de calibração para a definição do valor da difusão de reservatório LPS em relação ao MPS no final de um intervalo de tempo
- OutLPS [-]: coeficiente de calibração para a definição do fluxo de saída do LPS
- LatVertLPS [-]: coeficiente de calibração para a distribuição do fluxo de saída do LPS na lateral (interfluxo) e vertical (percolação) do componente
- MaxPerc [mm]: Taxa máxima de percolação
- ConcRD1 [-]: coeficiente de retenção para o escoamento direto
- ConcRD2 [-]: coeficiente de retenção para interfluxo
Água Subterrânea
- RG1RG2dist [-]: coeficiente de calibração para a distribuição de água de percolação
- RG1Fact [-]: fator de dinâmica de escoamento do RG1
- RG2Fact [-]: fator de dinâmica de escoamento da RG2
- CapRise [-]: fator para a definição de ascensão capilar
Roteamento no fluxo
- flowRouteTA [h]: tempo de execução da rota de escoamento
Quando todos os parâmetros estiverem definidos, a modelagem é iniciada através do botão [Run]. Uma janela se abre com tabuladores diferentes.
A guia [JAMSProgress] representa informações gerais sobre a execução do modelo atual em forma de texto. Se um erro ou problema ocorrer durante a execução, uma mensagem de erro possivelmente aparece nesta visão. Além disso, vários critérios de eficácia são apresentados após a conclusão da execução do modelo. Estes são os seguintes:
e2 ... Nash-Sutcliff-efficiency com potência 2 (forma clássica)
e1 ... Nash-Sutcliff-efficiency modificada (diferenças não são quadrados, mas seus valores absolutos são aplicados)
log_e2 ... Nash-Sutcliff-efficiency modificada (o logaritmo dos valores são considerados)
log_e1 ... Nash-Sutcliff-efficiency modificada (o logaritmo dos valores são tomados; diferenças não são quadrados, e sim seus valores absolutos são aplicados)
ioa2 ... índice de concordância de acordo com a Willmot
ioa1 ... índice modificado de concordância de acordo com Willmot (diferenças não são quadrados)
r2 ... coeficiente de determinação
grad ... declive da linha de regressão
wr2 ... coeficiente de determinação, ponderado com o declive da linha de regressão
dsGrad ... gradiente de soma dupla
AVE ... erro de volume absoluto
RSME ... erro médio de raíz quadrático
pbias ... erro de volume relativo percentual
As outras guias contêm as parcelas e mapas selecionados previamente.
Arquivos de entrada
Arquivos de entrada são os parâmetros temporais estáticos, assim como temporais de dados de entrada (valores variáveis de clima, os valores de precipitação, os valores de escoamento). Estes são lidos como arquivos ASCII.
Geralmente, para todos os aquivos de entrada, é necessário que:
- o separador seja o tabulador
- o separador decimal seja o ponto
Dados
O sistema de modelagem J2000 espera que os seguintes arquivos de dados para a inicialização do modelo:
| Nome | Descrição | Unidade |
|---|---|---|
| ahum.dat | umidade absoluta | g/cm 3 |
| orun.dat | passagem do fluxo medida no segundo escoamento | m 3/s |
| rain.dat | quantidade medida de precipitação | mm |
| rhum.dat | umidade relativa | % |
| sunh.dat | duração da luz solar | h |
| tmax.dat | temperatura máxima | ° C |
| tmean.dat | temperatura média do ar | ° C |
| tmin.dat | temperatura mínima | ° C |
| wind.dat | velocidade do vento | m/s |
Cada arquivo de dados tem a seguinte estrutura (demonstrado aqui pelo exemplo da chuva):
| #rain.dat chuvas | |
| @dataValueAttribs | |
| rain 0 9999 mm | nome da série de dados, o menor valor possível, o maior valor possível, a unidade |
| @dataSetAttribs | |
| missingDataVal -9999 | Valor para marcar valores de dados em falta |
| dataStart 01.01.1979 7:30 | data e hora do primeiro valor de dados |
| dataEnd 31.12.2000 7:30 | data e hora do último valor de dados |
| tres d | resolução temporal dos dados (aqui: dias) |
| @statAttribVal | |
| name stat1 stat2 | nomes das estações de medição |
| ID 1574 1513 | nome numérico das estações de medição (ID) |
| elevação 525 498 | elevação da estação 1, elevação da estação 2 |
| x 4402310 4422269 | Posicionamento oriental da estação1, Posicionamento oriental da estação 2 |
| y 5620906 5616856 | Posicionamento setentrional da estação 1, Posicionamento setentrional da estação 2 |
| dataColumn 1 2 | número da coluna em particular na parte de dados |
| @dataVal | parte de dados inicial |
| 01.01.1979 07:30 0.8 0.1 | data, hora, valor da estação 1, valor da estação 2 |
| ... | |
| 31.12.2000 07:30 1.1 0 | data, hora, valor da estação 1, valor da estação 2 |
| #end of rain.dat | fim da parte de dados |
Parâmetros
O J2000 espera os arquivos de parâmetros a seguir para a inicialização do modelo:
- landuse.par - uso da terra
- hgeo.par - hidrogeologia
- soils.par - tipos de solo
- reach.par - rede de cursos de água
- hrus.par - parâmetro dos derivados de Unidades de Resposta Hidrológicas (HRUs)
Geralmente, todos os arquivos de parâmetros têm a seguinte estrutura (demonstrado aqui pelo exemplo da rede de cursos de água, veja também a figura da direita):
| 1 | #reach.par |
| 2 | nome da variável |
| 3 | menor valor possível |
| 4 | maior valor possível |
| 5 | unidade |
| 6 | Parte começo de dados |
| n | #end of reach.par -> marca o fim do arquivo de parâmetro (aqui: o uso da terra) |
- landuse.par
| Parâmetro | Descrição |
|---|---|
| LID | ID do uso da terra |
| albedo | albedo em% |
| RSC0_1 | resistência de superfície mínima para o solo saturado de água em janeiro |
| ... | |
| RSC0_12 | resistência de superfície mínima para o solo saturado de água em dezembro |
| LAI_d1 | índice de área foliar (LAI), no início do período de vegetação |
| ... | |
| LAI_d4 | índice de área foliar (LAI), no final do período de vegetação |
| effHeight_d1 | altura efetiva da vegetação no início do período de vegetação |
| ... | |
| effHeight_d4 | altura efetiva da vegetação no fim do período de vegetação |
| rootDepth | |
| sealedGrade | grau de vedação |
- hgeo.par
| Parâmetro | Descrição |
|---|---|
| GID | ID de hidrogeologia |
| RG1_max | capacidade máxima de armazenamento do reservatório de água subterrânea superior |
| RG2_max | capacidade máxima de armazenamento do reservatório de água subterrânea inferior |
| RG1_k | coeficiente de armazenamento do reservatório de água subterrânea superior |
| RG2_k | coeficiente de armazenamento do reservatório de água subterrânea inferior |
- reach.par
| Parâmetro | Descrição |
|---|---|
| ID | ID da parte do canal |
| length | comprimento |
| ID da parte do canal subjacente | |
| slope | declive |
| rough | valor da rugosidade de acordo com MANNING |
| Largura | |
- soils.par
| Parâmetro | Descrição |
|---|---|
| SID | ID do tipo de solo |
| depth | espessura do solo |
| kf_min | coeficiente de permeabilidade mínima |
| depth_min | profundidade do horizonte acima do horizonte com o menor coeficiente de permeabilidade |
| kf_max | coeficiente de permeabilidade máxima |
| cap_rise | variável booleana, que permite (1) ou restringe (0) a ascensão capilar |
| aircap | capacidade de ar |
| fc_sum | capacidade de campo utilizável |
| fc_1 ...22 | capacidade de campo utilizável por decímetro de profundidade de perfil |
- hrus.par
Parâmetros das dadas Unidades de Resposta Hidrológicas (HRUs)
| Parâmetro | Descrição |
|---|---|
| ID | HRU ID |
| x | |
| y | Localização setentrional do ponto centróide |
| elevation | elevação média |
| area | área |
| type | tipo de drenagem: a HRU é drenada na HRU (2), a HRU é drenada na parte do canal (3) |
| to_poly | ID do HRU subjacente |
| to_reach | ID da parte do canal adjacente |
| slope | declive |
| aspect | aspecto |
| flowlength | Comprimento de fluxo |
| soilID | ID da classe de solo |
| landuseID | ID da classe de uso da terra |
| hgeoID | ID da classe hidrogeológica |
Regionalização dos dados de clima e de precipitação
Processamento Geral
1. Cálculo da regressão linear entre os valores diários da estação e a elevação das estações. Assim, são calculados o coeficiente de determinação (r 2) e da inclinação da linha de regressão (b H) desta relação. Assume-se que o valor (MW) depende linearmente da elevação do terreno (H), de acordo com:
O aH e o b H desconhecidos são definidos de acordo com o método de Gauss dos menores quadrados:
O coeficiente de correlação da regressão é calculado de acordo com a seguinte equação:
2. Definição de n estações medidoras que estão mais próximas à HRU particular.. O número n que necessita ser introduzido durante a parametrização é dependente da densidade da rede de estações, bem como sobre a posição das estações individuais.
Para cada conjunto de dados, o número de estações (n), que devem ser consideradas para a regionalização deve ser determinado em antemão. Além disso, um fator de ponderação (pIDW) tem de ser fornecido. As n estações mais próximas são definidas de acordo com a regra de cálculo seguinte, com a ajuda das localizações oriental e setentrional (eastings e northings) de todas as estações, bem como as coordenadas da HRU em particular. O primeiro passo consiste em calcular a distância (Dist (i)) de cada estação para a área de interesse:
sendo que
RW ...localização oriental da estação i...n, ou a HRU (DF)
HW ...localização setentrional da estação i...n, ou a HRU (DF)
As n estações de com a menor distância à HRU particular são tomadas a partir das distâncias calculadas de acordo com a descrição acima, e são então utilizadas para cálculos posteriores. As distâncias destas estações são convertidas em distâncias ponderadas (wDist(i)), através de potencialização com o fator de ponderação pIDW. Com a ajuda deste fator de ponderação, a influência de estações vizinhas pode ser aumentada e a influência das estações mais afastadas pode ser diminuída. Bons resultados podem ser obtidos com os valores 2 ou 3 para o pIDW.
3. Através de um Inverse-Distance-Weighted (IDW) (Distânica inversa ponderadas), ponderações das n estações são definidas dependentemente de suas distâncias para cada HRU. Através do método IDW a variabilidade horizontal da estação de dados é levada em consideração de acordo com a sua posição espacial. O cálculo é realizado de acordo com a seguinte equação:
4. O cálculo do valor de dados para cada HRU com as ponderações a partir do ponto 3, e uma correção de elevação opcional para a consideração da variabilidade vertical. A correção de elevação só é realizada quando o coeficiente de determinação (calculado de acordo com o ponto 1) vai além do limite digitado pelo usuário.
O cálculo sem a correção de elevação opcional é levada feita de acordo com a seguinte equação:
Para os valores de dados que possuem um efeito de elevação, uma correção de elevação para os valores de medição é realizada adicionalmente, quando os valores têm uma relação de regressão estreita (r ² maior do que o valor-limite introduzido pelo usuário). A seguinte equação é aplicada para o cálculo:
sendo que ΔH(i) ...... diferença de elevação entre a estação i e a HRU
bH ... declive da linha de regressão
Método de correção específico e o método de cálculo para os conjuntos de dados individuais
Precipitação
Correção do erro de umedecimento e erro de evaporação
A correção do erro de umedecimento e o erro de evaporação é feita de acordo com pesquisas com a ajuda de medidores de precipitação Hellmann como descritos por RICHTER (1995). A fim de oferecer uma correção de erro constante (que resulta da perda de umedecimento e evaporação), funções logarítmicas foram aproximadas separadamente para o semestre de Verão (Maio a Outubro) e semestre de inverno (novembro a abril) com os valores discretos tabulados no sistema de modelação 2000. Se a altura da precipitação ultrapassa o valor de 9 mm, o erro de umedecimento e erro de evaporação são definidos como um valor constante.
O erro de umedecimento e o erro de evaporação para precipitação alturas ≤ 9,0 mm são calculados de acordo com o seguinte equipara:
Para a precipitação alturas >9,0 mm o umedecimento e o erro de evaporação é o seguinte:
Correção do erro provocado pelo vento
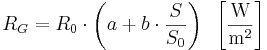
A quantificação do erro de precipitação, que é de se esperar é realizada de acordo com a pesquisa de RICHTER (1995) como função da altura da precipitação e da posição da estação. Pressupõe-se que o erro de vento relativo (KRWind) para a precipitação de água e também de neve se comporta de forma inversamente proporcional às alturas de precipitação (Pm). O cálculo é realizado de acordo com as seguintes equações:
O cálculo das alturas de precipitação corrigidas para o erro de evaporação e o de vento é então realizada de acordo com a seguinte equação:
Temperatura
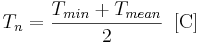
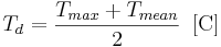
O sistema de modelagem J2000 requer valores da temperatura d mínima, bem como a temperatura máxima diária. A partir destes valores, a temperatura média diária (Tmean) é calculada como a média média.
A regionalização dos valores pontuais Tmin, Tmax e Tmean é realizada de acordo com a regra descrita acima, com correção de elevação opcional.
Velocidade do vento
A velocidade do vento não é dada como valor direto do DWD, mas como observações da força do vento (WS) em Beaufort. A conversão da força do vento para a velocidade do vento a 2 m de altura (v2) [em ms-1] pode ser realizada de acordo com a seguinte equação:
Esta conversão tem de ser feita no exterior, porque J2000 espera a velocidade do vento em m/s.
A conversão da velocidade do vento a 2 m de altura a outras alturas - como é exigido em parte durante o cálculo da evaporação e da correção do vento da precipitação - é levada a cabo durante a modelagem de acordo com a seguinte equação:
A interpolação dos valores pontuais para a área é realizada de acordo com o método descrito acima. O sistema de modelagem permite a inclusão da correção de elevação opcional para a regionalização da velocidade do vento. No entanto, esta opção deve ser manuseada com cuidado, uma vez que a velocidade do vento é muito dependente da posição da estação.
Insolação
A insolação diária (S) [em h], é fornecido como valor pelo DWD. A interpolação dos valores de estação para a área é realizada de acordo com o procedimento descrito acima - sem cálculos adicionais ou correções de elevação.
Umidade Relativa
A umidade relativa (U) [em%] pode ser tomada a partir do DWD como valores diários. A regionalização direta dos valores não é recomendada, uma vez que dependem de dois parâmetros: o teor de umidade absoluta e o teor de umidade máxima possível do ar para uma determinada temperatura. Assim, no módulo de regionalização do sistema de modelagem J2000 a umidade absoluta (a) [em g cm-3] é calculada a partir da umidade relativa e da temperatura na estação. Em seguida, ela é regionalizada e depois a umidade absoluta é convertida para a umidade relativa novamente. Para este propósito, os passos de cálculo são necessários vários que são mostrados abaixo.
'Cálculo da pressão do vapor de saturação
A pressão do vapor de saturação (es(T)) [em hPa] é calculada de acordo com a fórmula Magnus com os coeficientes de SONNTAG (1994) para a temperatura do ar (T) [em °C]:
Cálculo da umidade máxima
A umidade máxima (A) é calculada contra a pressão do vapor de saturação (es(T)) e a temperatura do ar (T) de acordo com:
Cálculo da umidade absoluta
O conteúdo de água real do ar, a umidade absoluta (a) [em gcm -3], resulta da umidade máxima (A) [em gcm-3] e da umidade relativa do ar (U) [em%]:
Os valores de estação assim calculados para a umidade absoluta são então regionalizados de acordo com o procedimento descrito acima e são depois convertidos em umidade relativa. A vantagem deste método de regionalização bastante complexo é que, para além da sua maior relação física, a umidade absoluta é mais dependente da altura do que a umidade relativa. Assim, o efeito de elevação pode ser utilizado para a regionalização de acordo com o procedimento descrito acima. Após a regionalização da umidade absoluta, a conversão em umidade relativa pode ser realizada. No entanto, em vez da temperatura da estação, a temperatura média do ar Tmean anteriormente regionalizada do subzona discreta correspondente é definida.
Cálculo da Evapotranspiração
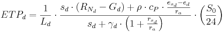
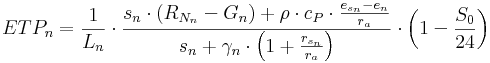
O cálculo da evaporação existente é realizado em J2000 de acordo com a equação de Penman-Monteith em vários passos em relação a vários parâmetros. Uma vez que o cálculo é muito complexo e demorado, ele foi relocado para a parte de pré-processamento do sistema de modelagem. Este tipo de “outsourcing” é possível porque a maioria dos parâmetros que são utilizados para o cálculo são derivados a partir dos dados de entrada e são, portanto, vistos como independentes da dinâmica modelada do abastecimento de água. O único parâmetro que é utilizado no cálculo, mas que só pode ser definido durante a modelagem, é a umidade atual do solo. Sua influência redutora é levada em conta por meio de funções apropriadas de redução durante a modelagem. Dois valores de evaporação são gerados para cada intervalo de tempo (1 dia), durante o cálculo da evaporação. Estes valores são um valor para o dia (índice d) e um valor para a noite (índice n). Esta distinção é necessária porque o saldo de radiação líquida é muito diferente de dia ou de noite. Além disso, o comportamento da evaporação da vegetação é diferente de dia ou de noite. Durante a noite os estomas das plantas ficam fechados, a resistência de superfície é diferentemente maior do que durante o dia. O cálculo para o dia e para a noite é realizado de acordo com as seguintes equações, tendo-se que o valor total da evaporação para o intervalo de tempo específico resulta na soma destes dois valores.
sendo que:
Ld,n ... latent heath of evaporation [Wm-2] per [mmd-1]
sd,n ... slope of the vapor pressure curve [hPaK-1]
RN d,n ... net radiation [Wm-2]
Gd,n ... soil heat flux [Wm-2]
ρ ... density of the air [kgm-3]
cp ... specific heat capacity of the air for constant pressure [Jkg-1K-1]
esd,n ... saturation vapor pressure [hPa]
ed,n ... vapor pressure [hPa]
ra ... aerodynamic resistance of the land cover [sm-1]
γ d,n ... psychrometer constant [hPaK-1]
rsd,n ... surface resistance of the land cover [sm-1]
S0 ... astronomic possible sunshine duration [h]
As temperaturas do ar (T d e Tn), que se tornam necessárias para o cálculo do saldo de radiação, são derivadas dos valores da temperatura mínima e máxima, assim como a partir do valor médio diário:
A calor latente da evaporação (L) é calculado em valores aproximados de acordo com:
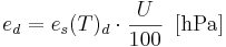
A pressão do vapor de saturação (es (T)) do ar para a temperatura (T), é calculada de acordo com a fórmula Magnus com os coeficientes de Sonntag:
A pressão de vapor real (e) resulta da pressão de vapor de saturação e umidade relativa do ar (U em [%]):
A inclinação da curva da pressão do vapor de saturação (s) calculada a partir da pressão de vapor de saturação (es (T)) e a temperatura do ar (T):
A pressão do ar (p) na altura (z) é gerada a partir da fórmula barométrica adaptada:
sendo que:
p0... pressão atmosférica ao nível do mar (=1013) [hPa]
g... aceleração da gravidade (=9.811) [ms-1]
R... constante universal de gás (= 8314,3) [Jkmol-1K-1]
Tabs ... temperatura do ar absoluta [K]
O psicrômetro constante (γ) resulta de:
em que 0.6322 é a relação do peso molar do vapor de água e do ar seco.
Cálculo do saldo da radiação
A energia que é necessária para a evaporação é provida pela radiação. O saldo da radiação para cada dia necessita ser definido para o cálculo da quantidade de energia que resulta do balanço de energia dos segmentos. Os fluxos de energia que contribuem para o saldo de radiação são os seguintes: a radiação extraterrestre, a radiação global, o retro-radiação atmosférica, a radiação de ondas longas, bem como o fluxo de calor do solo.
A radiação extraterrestre (R0) é calculada contra a latitude bem como a variação anual do ângulo de insolação do sol (declinação):
com o ângulo ζ e o fator (1/8.64) para a conversão de Jcm -2 para Wm -2, bem como a partir da latitude φ para o grau.
A radiação global (RG) é calculada com base na radiação extraterrestre R0 e na nebulosidade. O grau de turvação é aqui aproximado a partir da relação da insolação medida com a insolação astronômica possível em um céu sem nuvens (S0) com a ajuda de uma relação empírica de acordo com a fórmula de Ångström. A RG é calculada de acordo com:
O cálculo da insolação astronômica possível (S0) da variação anual é feita contra a latitude:
sendo que:
ζ = 0.0172*JT - 1.39
JT ... dias julianos [1 ... 365;366]
φ... latitude
A radiação de ondas longas da superfície da terra e a retro-radiação atmosférica são calculadas juntas como radiação de ondas longas efetiva (RL). A radiação de corpo negro de acordo com Boltzmann, o grau de turvação e uma função empírica do conteúdo de vapor de água do ar fazem parte do cálculo:
sendo que:
σ ... constante de Stefan-Boltzmann (=5,67*10-8) [Wm-2K-4]
Tabsd,n ... temperatura do ar absoluta [K]
ed,n ... a pressão de vapor do ar [hPa]
A radiação líquida resulta da radiação global (RG) reduzida pelo albedo (α) do tipo específico de uso da terra, bem como a partir da radiação de ondas longas efetiva (RL):
O fluxo de calor do solo (G) é então calculado de acordo com a relação muito simplificada:
Cálculo de parâmetros de específicos de seres vivos
A influência de formas diferentes de vegetação na evaporação é levada em consideração através de duas resistências na abordagem de Penman-Monteith: a resistência de superfície (rs) e a resistência aerodinâmica (ra). Para o cálculo das resistências, parâmetros específicos do uso da terra são necessários. Estes são: o índice de área foliar LAI, a altura efetiva da vegetação (eff.Bh.), e as resistências de superfície para a saturação da água. Os seus valores são mostrados para diferentes classes de cobertura de terra no quadro seguinte:
Além disso, valores albedo específicos dos seres vivos estão aqui incluídos, os quais são utilizados para o cálculo do saldo da radiação. O índice de área foliar e a altura da vegetação efetiva são representados como pontos distintos (d1...d4) do ano. Os pontos representam o início do período de vegetação (d1), a conclusão do desenvolvimento máximo ou da maturação (d2), o período de maturação até o ponto d3 e, em seguida, a redução até o final do período de vegetação (d4). Os pontos individuais são representados por dia juliano (d1 = 110, d 2 = 150, d3 = 250, d4 = 280) para áreas com cerca de 400m de altura. Para outras alturas (z) estes pontos são aproximados de acordo com a seguinte relação empírica:
Os valores entre os pontos individuais são interpolados linearmente. A resistência aerodinâmica (ra) de um determinado tipo de uso do solo pode ser calculada de acordo com a seguinte equação:
sendo que
zm ... medição da altura da velocidade do vento (= 2 m) [m]
z0 ... comprimento de rugosidade aerodinâmica (≈ 0,125 * altura da vegetação efetiva) [m]
v2 ... velocidade do vento a 2 m de altura [ms-1]
A resistência aerodinâmica para alturas de vegetação efetivas de igual ou superior a 10 m pode ser calculada de acordo com a seguinte equação simplificada:
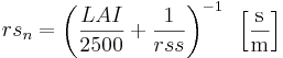
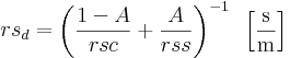
A resistência superficial do tipo de uso específico é calculada de acordo com a seguinte equação:
sendo que
rsc ... resistência da superfície [sm-1]
A ... 0.7 LAI [-]
rss ... resistência de superfície de solo descoberto [sm-1]
Adaptação específica da evaporação durante a modelagem
Além disso, inclinação e aspecto influenciam significativamente a quantidade da evaporação e, portanto, são tidos em conta pelos fatores de correção seguintes:
sendo que
δ... aspecto de norte em grau
α... inclinação em grau
A evaporação de encostas (ETP') é calculada com a ajuda deste fator de correção:
Para a consideração da umidade do solo atual as funções de correção específicas são aplicadas. Assume-se que a vegetação pode apenas transpirar até que um teor de água do solo em particular com a taxa de evaporação potencial seja alcançada. Depois de descer abaixo desse teor de umidade, a evaporação real diminui proporcionalmente à evaporação potencial até que se torne zero no ponto de emurchecimento permanente. No J2000 existe uma função linear com o coeficiente de calibração linear_reduc e um procedimento não linear com o coeficiente de calibração poly_reduc disponíveis para a redução:
Com a função linear, pressupõe-se que a ETP atual está de acordo com a ETP potencial, enquanto a saturação relativa do MPS é igual ou maior que o linear_reduc. Se a saturação relativa do MPS cair abaixo do linear_reduc, o fator de redução f (Θ) diminui de forma linear. Assim, linear_reduc representa um limiar que precisa ser definido pelo usuário e que pode assumir valores de 0 a 1. Em contraste, o coeficiente de calibração poly_reduc pode assumir todos os valores entre zero e o infinito. Por um pequeno valor de poly_reduc, o fator de redução é também reduzido para uma saturação elevada do MPS. Se os valores de poly_reduc aumentam, a ETP potencial diminui ligeiramente. Para diminuir a saturação do MPS, ocorre uma maior redução. A evaporação real é calculada com o valor da função de correção em relação ao atual teor de água do solo a partir da evaporação potencial (ETP'):
Módulo de Interceptação
O módulo de interceptação serve para o cálculo das precipitações líquidas provenientes das precipitações de campo contra as coberturas de vegetação particulares e seu desenvolvimento na variação anual. A precipitação de campo é reduzida pela parte da interceptação para o volume de precipitação através da interceptação. Assim, a precipitação líquida ocorre apenas quando a capacidade máxima de armazenamento de interceptação da vegetação estiver esgotada. O excedente é então passado para o módulo seguinte como precipitação não interceptada. A capacidade máxima de interceptação (Int max) é calculada no J2000 de acordo com a seguinte fórmula:
sendo que
α ... capacidade de armazenamento por m2 de área foliar contra o tipo de precipitação [mm]
LAI ... índice de área foliar da classe particular de uso da terra [-]
O parâmetro α tem um desenvolvimento diferente, dependendo do tipo da precipitação interceptada (chuva ou neve), uma vez que a capacidade máxima de interceptação da neve é sensivelmente mais elevada do que a da precipitação líquida. O índice de área foliar para os tipos de vegetação individuais do ano é calculado com o método descrito para cada dia da série temporal. O esvaziamento do armazenamento de interceptação é realizado exclusivamente por evaporação. Um caso especial ocorre quando o desenvolvimento dos parâmetros α muda da chuva para a neve devido à temperatura do ar. Isto leva a uma diminuição forte da capacidade máxima de armazenamento de interceptação. O possível excedente é passado como precipitação drenada para o módulo seguinte.
Módulo da Neve
O desenvolvimento da neve é subdividido em três fases no módulo de neve do J2000: a acumulação da neve, sua metamorfose e o seu derretimento. A quantidade de neve da precipitação total é definida através da temperatura do ar, a fim de calcular a taxa de acúmulo diário (ACC). Para este propósito, pressupõe-se que abaixo de um limite de temperatura específico, a precipitação total consiste em neve, e acima de um segundo limite de temperatura a precipitação total consiste em chuva. Na zona entre estas temperaturas limite, ocorre uma precipitação mista. A fim de definir as temperaturas limite e, consequentemente, o tamanho da zona de transição, um valor de temperatura (Trs em ° C) precisa ser determinado, que deve estar de acordo com a temperatura, na qual 50% da precipitação é de neve e 50% é de chuva. Além disso, um parâmetro Trans (em K) precisa ser definido, que é tomado como a metade da largura da zona de transição. A proporção de neve real (p(s)) da precipitação diária contra a temperatura do ar (T) é calculada de acordo com:
A quantidade diária de neve (Ns) ou a quantidade de chuva (Nr) é calculada de acordo com:
O equivalente de água da neve assim calculado é alocado para o armazenamento de sólidos (SWCdry). Se p(s) for inferior a 1,0, o valor resultante de chuva é adicionado ao armazenamento de líquido.
A mudança de altura da neve resultante é calculada com a ajuda da densidade da neve fresca (ρnew):
As circunstâncias térmicas sob a cobertura de neve são consideradas com o armazenamento de frio na cobertura de neve em conexão com o derretimento da neve. Uma vez que a água derretida congela imediatamente devido a circunstâncias isotérmicas negativas sob a cobertura de neve e, assim, o escoamento é parado, o armazenamento de conteúdo frio necessita atingir o valor zero, de modo que o processo de degelo possa começar. Consequentemente, as temperaturas negativas aumentam o armazenamento de frio, enquanto as temperaturas positivas reduzem-la. O cálculo desse armazenamento (CC) resulta do produto da temperatura do ar por um parâmetro de calibração (coldContFac):
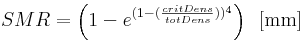
A camada de neve pode armazenar a água em estado líquido nos seus poros, até uma certa densidade crítica (critDens). Esta capacidade de armazenamento é perdida quase completa e irreversivelmente quando uma certa quantidade de água líquida proporcional ao total equivalente da água da neve (entre 40% e 45%) é atingido. Isto é tido em conta na modelação pelo cálculo do teor máximo de água (WSmax) da cobertura de neve:
A densidade crítica (critDens) precisa ser fornecida pelo usuário. A água armazenada na cobertura de neve que vai além deste limite é drenada:
A água resultante da neve (SMR) é usada como valor de entrada no módulo de solo a seguir. A densidade da cobertura de neve mantém o valor da densidade crítica até o essa camada degele ou volte para a fase de acumulação, devido a uma nova precipitação de neve.
No J2000, existem dois métodos disponíveis para o cálculo da taxa de fusão potencial: um método simples baseia-se na relação estreita da temperatura do ar e da intensidade de degelo. A taxa de fusão potencial (potMR) é calculada com base na temperatura do ar, o fator de grau do dia (ddf) e a densidade de neve total (totSnowDens):
O fator de grau do dia representa um coeficiente de descongelamento empiricamente gerado. Como alternativa para a fórmula de cálculo mencionado, a taxa de fusão potencial pode também ser calculada por meio de uma abordagem mais complexa. Além da quantidade de precipitação (P em mm) e a temperatura do ar, fluxos de energia adicionais (temperatura do ar, temperatura de precipitação e temperatura do solo) são considerados neste cálculo. Uma vez que os dados de entrada necessários para essa abordagem (por exemplo, intensidade de precipitação, calor de fusão e velocidade do vento) estão muitas vezes indisponíveis, eles precisam ser calibrados. A equação assim resultante e simplificada contém apenas os dados de temperatura, dados de precipitação e os fatores de calibração r_fator, g_fator e t_fator que precisam ser gerados empiricamente.
Módulo de Água do Solo
O módulo do solo é estruturado em unidades de processo (evapotranspiração, infiltração) e unidades de armazenamento (armazenamento dos poros médios = MPS, armazenamento de poros grandes = LPS, armazenamento de depressão). Na primeira, a capacidade de infiltração contra a saturação de água no solo e uma taxa de infiltração máxima são calculados com a ajuda de um método empírico. As funções máximas de taxa de infiltração servem como limite. Quando este limite for ultrapassado, a água excedente é armazenada no armazenamento de depressão ou de encaminhada para o escoamento superficial direto. A quantidade máxima de água que pode ser retida em depressões superficiais é vista como o armazenamento de depressão máximo (maxDepStor). Além disso, o armazenamento de depressão é dependente da estrutura da superfície, bem como sobre o declive e é reduzida à metade quando a inclinação é maior do que 5%. A água da precipitação que não é infiltrada ou armazenada no armazenamento de depressão drena como escoamento superficial. A fim de calcular a infiltração (Inf), é usado um método de cálculo empírico no J2000. Para este efeito, uma taxa de infiltração máxima (maxINF em mm/d), definida pelo usuário, contra o déficit de saturação relativa do solo (1 - soilsab) é levado em conta:
O cálculo da saturação relativa do solo é realizado de acordo com:
sendo que
MPSact, MPSmax ... preencimento máximo real da armazenagem de poros médios
LPSact, LPSmax ... preenchimento máximo real do armazenamento de poros grandes
Três cenários de infiltração são considerados para a definição da taxa de infiltração máxima. O ajuste dessa taxa (maxINF), definido pelo usuário, com o parâmetro Inf_winter é o caso normal da infiltração para o semestre de inverno. Além disso, as condições de infiltração especiais para a precipitação convectiva com curta duração e de alta intensidade que ocorrem no verão são considerados, através do parâmetro Inf_summer. Além disso, com a configuração do parâmetro Inf_snow, deve-se considerar a circunstância de infiltração diminuída devido a um solo parcial ou completamente congelado, quando a cobertura de neve ocorre . Se a quantidade de água que deve ser infiltrada for maior do que a taxa de infiltração máxima (maxINF) configurada pelo usuário, a água excedente é armazenada no armazenamento de depressão ou é drenada como escoamento superficial. Além disso, a infiltração é influenciada pelo grau de selamento da superfície. Para uma grau de selamento superior a 80% (áreas impermeáveis IP>80), apenas 25% da precipitação infiltrará, para um grau de selamento inferior a 80% (áreas impermeáveis IP<80) 60% da precipitação infiltrará. A precipitação infiltrada é alocada para o reservatório de poros médios e o de poros grandes no que o déficit de saturação da MP é determinante. O influxo no MPS (MPSin) resulta da precipitação infiltrada (Inf) contra o seu conteúdo de armazenamento relativo (ΘMPS), bem como a partir de um coeficiente de calibração (Dist coef), criado pelo usuário. O MPSin é calculado de acordo com a seguinte equação:
A quantidade de água de precipitação infiltrada que não é absorvida pelo MPS vai para o armazenamento de poros grandes (LPSin):
A faixa de valores do coeficiente de calibração encontra-se entre zero (de modo que a água não possa fluir para o MPS) e o infinito. A descarga do MPS é exclusivamente feita através de evapotranspiração (ETP), que é calculada a partir do enchimento do armazenamento atual do MPS e da ETP potencial (veja o cálculo da evapotranspiração).
O movimento da água vertical (percolação) e lateral (interfluxo) no solo ocorre exclusivamente no LPS e é, portanto, dependente da quantidade de poros grandes. Primeiramente, escoamento total do LPS (LPSout) que, finalmente, se divide nos dois componentes de escoamento mencionados precisa ser calculado. Calcula-se contra a saturação relativa do solo (soilsat), o conteúdo real do reservatório de grandes dimensões (LPSact) e um coeficiente de calibração (LPSout).
A atribuição seguinte do escoamento do LPS na direção do fluxo vertical e lateral (inter) é realizada contra a inclinação e um fator de calibragem específico do usuário (LatVertDist), que pode ter valores entre zero e o infinito.
A taxa de percolação pode ser restringida por uma taxa de percolação diária (maxPerc) máxima absoluta e específica do usuário. Quando a taxa de percolação máxima é atravessada, a água excedente é conduzida para o interfluxo. A taxa máxima de percolação resulta da permeabilidade hidráulica e da quantidade de poros grandes e poros macro e pode ser estimada apenas vagamente. A água que está no LPS depois de um intervalo de tempo pode difundir no MPS (LPS2MPS) quando o conteúdo de armazenamento real do LPS (LPSact), a saturação relativa do MPS (ΘMPS) e do coeficiente de calibração Diff Coef são considerados:
O parâmetro de calibração Dist coef possui também um vasto ambíto de valor teórico de 0 a infinito. A difusão não ocorre para valores de 0. Quando o valor de 5 é cruzado, quase toda a água que ficou nos poros grandes se difunde no MPS.
Enquanto a percolação é limitada pela taxa de percolação máxima, a descarga pode ser desacelerada por meio do escoamento direto (RD1) e do interfluxo (RD2) por um coeficiente de retenção definido pelo usuário (recRD1, recRD2):
Se recRD1 ou recRD2 recebem um valor maior que 1, o escoamento é desacelerado e o excesso de água permanece nos armazéns particulares até os próximos intervalos de tempo. De igual modo, um pequeno valor para k conduz a um aumento do escoamento.
Módulo de Águas Subterrâneas
O conceito do modelo do módulo de águas subterrâneas no J2000 oferece a visualização do escoamento de água do solo de todas as formações geológicas que ocorrem na bacia levando-se em consideração os diferentes comportamentos de armazenamento e escoamento. Em cada uma das unidades geológicas, há uma distinção entre o reservatório de águas subterrâneas superior (RG1) em material solto exposto ao intempérie com alta permeabilidade e reservatório de água subterrânea inferior (RG2) em fraturas e fissuras da rocha. Consequentemente, dois componentes de escoamento básicos são gerados: um rápido a partir do reservatório de águas subterrâneas superior e um lento do inferior. O enchimento do reservatório de águas subterrâneas resulta do componente de escoamento vertical do módulo do solo. O esvaziamento pode ser efetuado pelos componentes de escoamento subterrâneos laterais, bem como pela elevação capilar na zona insaturada. A parametrização desses reservatórios é realizada com a definição da capacidade máxima de armazenamento dos reservatórios de água do solo superior (maxRG2) e inferior (max RG1), bem como de um coeficiente de retenção para cada um dos dois reservatórios (recRG1) e (recRG2 ). Ambos os parâmetros devem ser determinados para cada entidade geológica separadamente. A capacidade de armazenagem máxima resulta do produto da cavidade e da espessura do armazenamento individual por unidade de área em m². O cálculo do rendimento de água é realizado contra os enchimentos do armazenamento real como uma função linear de drenagem. Os coeficientes de retenção de armazenamento, que devem ser vistos como tempos de residência da água no depósito de interesse, são levados em conta como fator do conteúdo de armazenamento real (actRG1 e actRG2) para o cálculo do escoamento da água do solo (e outRG1 outRG2 ):
Para se considerar a dinâmica de escoamento dos reservatórios de águas subterrâneas na bacia, os escoamentos de águas subterrâneas outRG1 e outRG2 podem ser multiplicados pelos parâmetros de calibração gwRG1Fact ou gwRG2Fact para o reservatório de água superior ou inferior em particular. As definições dos parâmetros indicadas destes fatores levam ao valor um, onde esse não pode ser menor que zero. Em geral, o escoamento a partir dos reservatórios de águas subterrâneas é realizado mais rapidamente quando um pequeno fator é fornecido e mais devagar com um fator grande.
Para uma adaptação adicional para a bacia, o coeficiente de calibração gwRG1RG2dist tem de ser criado. Ele influencia a repartição da água de percolação do módulo de solo (perc) para ambos os reservatórios de águas subterrâneas para cada Unidade de Resposta Hidrológica, levando-se em consideração a inclinação. O parâmetro de calibração disttRG1RG2 é usado como expoente no cálculo do fluxo de água do solo (inRG1 e inRG2):
Além dos parâmetros mencionados, a elevação capilar da água do solo (GW2MPS) tem uma influência importante no enchimento do armazenamento do solo em áreas planas com nível muito elevado de água no solo, por exemplo, em terras de inundação vastas. A fim de se ter em conta esta circunstância, o reservatório de poros médios ainda livre (deltaMPS), que resulta da diferença entre o armazenamento máximo dos poros médios e do volume real de armazenamento desse poros, é multiplicado por um fator empiricamente gerado. O coeficiente de calibração gwCapRise, bem como a saturação relativa do MPS (ThetaMPS) são usados para o cálculo deste fator:
O coeficiente de calibração gwCapRise pode assumir valores de zero a infinito. No entanto, a elevação capilar é impedida quando o coeficiente assume o valor zero.
Roteamento Lateral
O módulo de roteamento lateral descreve a transferência de água dentro de uma cascata em fluxo de HRU para HRU da bacia superior até o fluxo de recepção. Uma vez que os mecanismos de retenção de escoamento são descritos pelos outros módulos de processo, aqui são alocados apenas os influxos e as descargas da HRU. A transferência de água entre as HRUs são considerados numa relação n:1. Assim, uma HRU pode ter vários influxos, mas apenas uma descarga. A ordem das HRUs como receptores é determinada pelo ID do conjunto de dados topológicos da HRU. Nesse conjunto de dados é também determinado quais HRUs finalmente drenam para a corrente de recepção.
Roteamento de trechos fluviais
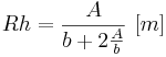
O módulo de roteamento de trechos fluvias descreve os fenómenos de fluxo no canal por meio de um modo cinemático normal semelhante a ondas e do cálculo da rapidez do fluxo de acordo com MANNING & Strickler. O único parâmetro (TA) que precisa ser definido é um coeficiente de encaminhamento que deve ser definido pelo usuário. Esse representa o tempo de percurso da onda de descarga que se move a partir do canal de escoamento após um evento de precipitação. O seu valor, bem como a rapidez de fluxo da corrente (v) e o comprimento de fluxo (fl) são necessários para o cálculo do coeficiente de escoamento de retenção (Rk).
Numa primeira instância, no entanto, a rapidez de fluxo (vnew) com o fator de rugosidade de Manning (M), a inclinação do leito de rio (I) e do raio hidráulico (Rh) precisam ser definidos. Esse raio (Rh), por sua vez é calculado a partir da seção transversal da parte do rio onde a água flui através de (A), a partir da passagem de fluxo (q), a rapidez do fluxo (v) e a largura do rio (b). Para esta abordagem, é pressuposta uma velocidade de fluxo inicial (vinit) de 1 m/s, que é em seguida iterativamente comparada com a nova velocidade de fluxo calculada (vnew) até que o desvio de ambas as velocidades sejam inferiores a 0,001 m/s.
mit:
Por fim, a descarga do rio em especial (qact) é calculada com o coeficiente de retenção do escoamento superficial gerado (Rk).
Quanto maior for o valor pressuposto da TA, mais rapidamente as ondas de descarga se movimentarão dentro de um determinado período, e menos água permanecerá no canal. O intervalo de valor teórico, por conseguinte, corresponde ao de números positivos.









